
|
Тринистор Как уже говорилось, чтобы перевести тиристор в открытое
состояние, необходимо накопить избыточный отрицательный заряд в базе
n1 и положительный в базе р2. Это осуществляется путем увеличения уровня
инжекции через эмиттерные переходы П1 и П3 при увеличении напряжения
на тиристоре до Uперекл. Накоплением объемных зарядов в базах Б1 и Б2
можно управлять, если у одной из баз имеется контакт, который называется
управляющим электродом (см. рис. 1б). Рис. 9. ВАХ тринистора при различных значениях управляющего тока базы Iупр
Рис. 10. Примеры характеристик кремниевых
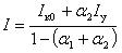
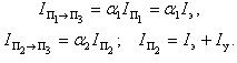
тринисторов КУ104 Феноменологическое описание ВАХ тринистора Аналогично как для динистора, запишем систему уравнений для тока тиристора через эмиттерный и коллекторный p-n переходы, с учетом управляющего тока Iу через вторую базу
Сумма всех токов, протекающих через переход П3, будет
равна:
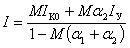
На рисунке 11 приведена схема тринистора, используемая
для расчета вольт- амперных характеристик в закрытом состоянии. Рис. 11. Схема включения тринистора для расчета ВАХ Сохраняя обозначение тока тиристора, как и ранее,
через знак , запишем: При наличии лавинного умножения М в коллекторе П3
ток через коллекторный переход будет равен:
Отсюда ВАХ тиристора на закрытом участке равна:
Уравнение (11) описывает ВАХ тиристора в закрытом
состоянии, по-скольку коэффициенты М, а1 и а2 зависят от напряжения
Vg. |