
|
Феноменологическое описание ВАХ динистора Для объяснения ВАХ динистора используют двухтранзисторную модель.
Из рисунка 5 следует, что тиристор можно рассматривать как соединение
р n р транзистора с n р n транзистором, причем коллектор каждого из
них соединен с базой другого. Центральный переход действует как коллектор
дырок, инжектируемых переходом П1, и как коллектор электронов, инжектируемых
переходом П2. Рис. 5. Двухтранзисторная модель диодного тиристора Взаимосвязь между токами эмиттера Iэ, коллектора Iк и статическим
коэффициентом усиления по току a1 р1 n1 р2 транзистора и a2 n2 р1 n1
транзистора следующая. Представляя динистор как два транзистора, запишем
следующие соотношения.
Если - ток через переход П2, аналогично:
Учтем еще один фактор - лавинное умножение в переходе П3 через
коэффициент лавинного умножения М. Тогда суммарный ток через переход
П3 будет равен:
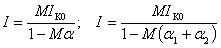
где Ik0 - обратный ток перехода П3 (генерационный и тепловой). В стационарном случае токи через переходы П1, П2, и П3 равны, тогда
откуда
где a= a1 + a2 - суммарный коэффициент передачи тока первого (p1
n1 p2) и второго (n2 p2 n1) транзисторов. Выражение (5) в неявном виде описывает ВАХ диодного тиристора на
"закрытом" участке, поскольку коэффициенты М и a зависят от
приложенного напряжения Vg. По мере роста a и М с ростом Vg, когда значение
М(a1 + a2) станет равно 1, из уравнения (5) следует, что ток I устремится
к бесконечности. Это условие и есть условие переключения тиристора из
состояния "закрыто" в состояние "открыто".
Рис. 6. Зонная диаграмма и токи в тиристоре в закрытом состоянии [5] Если полярность напряжения между анодом и катодом сменить
на обрат-ную, то переходы П1 и П3 будут смещены в обратном направлении,
а П2 - в прямом. ВАХ тиристора в этом случае будет обычная ВАХ двух
обратносмещенных p-n переходов.
|