Из рентгенографического эксперимента (зависимость интенсивности рассеяния от угла рассеяния, рентгенограмма), выполненного на кристаллических порошковых материалах определить структурные характеристики и, в частности, коэффициенты заполнения атомных позиций и оценить погрешности данных величин.
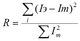
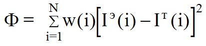
где: Степень совпадения экспериментального и подобранного в процессе уточнения теоретического профилей рентгенограмм
оценивается по значению стандартного фактора недостоверности R:

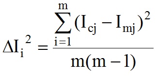
Ошибки в координатах атомов и коэффициентах заполнения позиций рассчитываются в процессе расчета приращений методом наименьших квадратов.
Метод уточнения профильных и структурных параметров
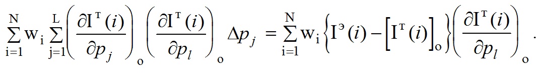
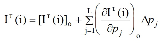
Поскольку функция Iт(i) , описывающая теоретическую рентгенограмму, нелинейно зависит как от параметров модели кристалла, которые надо
уточнить, так и от профильных параметров, то в формуле она заменяется на два первых слагаемых в разложении ее в ряд Тейлора:
Через pj обозначены уточняемые параметры, а через Δpj - их приращения. Число уточняемых параметров обозначено через L.
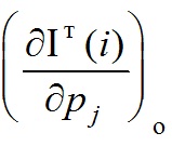
На начальном этапе расчета интенсивности в каждой точке профиля рентгенограммы [Iт(i)]o и первые производные
рассчитываются для
начальных значений уточняемых параметров pj.
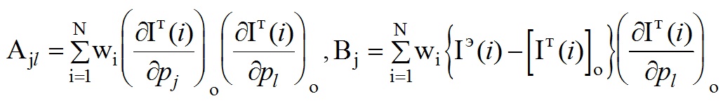
Условие минимума функционала Ф по l-му параметру имеет вид:
Уравнения данного типа, записанные для каждого из L уточняемых параметров модели, образуют систему из L уравнений, линейных относительно L приращений Δpj, которая может быть решена методом Гаусса или матричным способом.
В матричной форме эта система записывается как: [A]×[Δpj]=[B],
где jl-е элементы матриц [А] (Аjl) и [В] (Bj) равны соответственно
Решение уравнения будет иметь вид: [Δpj] = [A]-1×[B],
где [A]-1 - матрица, обратная матрице [A].
Уточненные параметры pj= pj+Δpj используются для нового расчета теоретической рентгенограммы, функционала и факторов недостоверности.